D. LOGIKA INFERENSI
D. LOGIKA INFERENSI
Perhatikan kejadian yang ditulis pada kalimat berikut!Seorang gadis terjatuh ketika berlarian di tengah lapangan karena tersandung batu. Terlihat muka gadis tersebut memerah dan kepalanya menunduk. Seorang ibu menghampiri dan segera memeluk gadis tersebut sembari mengatakan tidak apa – apa ayo ke tepi lapangan dan beristirahatlah.
Kalimat diatas dapat disimpulkan bahwa “muka memerah dan kepalanya menunduk” memiliki arti “malu”. Inferensi adalah tindakan/proses untuk mendapatkan kesimpulan berdasarkan apa yang sudah diketahui/diasumsikan.
Pengertian inferensi menurut pendapat ahli, yaitu :
- Menurut Collins Dictionary, Inferensi adalah kesimpulan yang kita tarik tentang sesuatu dengan menggunakan informasi yang sudah kita miliki tentang itu.
- Menurut Literary Terms, Inferensi adalah proses menarik kesimpulan dari bukti pendukung yang ada. Kita dapat membuat kesimpulan ketika membaca literatur. Petunjuk diberikan oleh penulis tentang apa yang terjadi, dan kita harus mencari tahu berdasarkan bukti itu. Penulis menyiratkan dan para pembaca menyimpulkan.
- Menurut Philosophy Terms, Inferensi adalah proses menarik kesimpulan berdasarkan bukti yang ada. Berdasarkan beberapa bukti atau “premis”, kita memebuat sebuah kesimpulan.
- Menurut Your Dictionary, Istilah “inferensi” mengacu pada proses observasi atau pengamatan dan pengetahuan untuk menentukan kesimpulan yang masuk akal.
1. Jenis Inferensi
Dilihat berdasarkan jumlah premisnya, inferensi pada dasarnya diklasifikasikan menjadi dua:- a. Inferensi langsung (immediate inference), yaitu proses membuat kesimpulan dari sebuah premis.
- b. Inferensi mediasi (mediate inference), proses membuat kesimpulan/konklusi dari dua atau lebih premis yang saling terkait secara logis.
- a. Ismah pulang ke rumah pukul 14 sore, terlihat pintu rumah masih terkunci karena ayahnya pulang kerja pukul 15. Ismah juga melihat tidak ada alas kaki di teras rumahnya sehingga menyimpulkan bahwa ayahnya belum pulang.
- b. Luluk melihat asap mengepul dari ruang dapur dan mencium bau gosong. Luluk menyimpulkan bahwa ada yang terbakar di ruang dapur
- c. Budi melihat banyak semut mengerumuni remahan roti di bawah meja. Budi menyimpulkan bahwa anaknya lupa membersihkan sisa makanan
- d. Bambang bekerja sebagai guru dan setiap pulang kerja merenovasi rumahnya tanpa bantuan tukang bangunan. Dapat disimpulkan bahwa selain sebagai guru, Bambang memiliki keahlian sebagai tukang bangunan
- e. Ketika group whatsapp berbunyi dan ada notifikasi dari teman kerjanya, susi tersenyum. Dapat disimpulkan bahwa susi senang membaca kabar dari temanya
- f. Bilqis memakan buah mangga yang baru dibeli ibunya, ia terlihat mengerutkan wajahnya. Dapat disimpulkan bahwa Bilqis memakan buah yang belum masak.
E. PENERAPAN NEGASI, KONJUNGSI DAN DISJUNGSI
Negasi, konjungsi dan disjungsi berfungsi juga sebagai logika aritmatika pada kehidupan sehari – hari, yaitu kemampuan analisis dalam memahami pola – pola tertentu (dalam bentuk angka). Dengan memanfaatkan bilangan biner, maka logika matematika dapat dilakukan. Misal untuk menyalakan saklar listrik rumah tangga, apabila angka 1 berarti hidup dan angka 0 berarti mati, maka dapat diperoleh sebagai berikut :
1. Negasi/Ingkaran
Jika X bernilai benar (1), maka Y bernilai salah (0)Tabel 5. Kebenaran Negasi
2. Konjungsi
Z bernilai benar (1) jika X “dan” Y bernilai benarTabel 6. Kebenaran Konjungsi
Z bernilai benar (1) jika X “atau” Y bernilai benar
Tabel 7. Kebenaran Disjungsi
#404
F. BILANGAN BINER DAN HEKSADESIMAL
Sistem bilangan merupakan suatu cara untuk menuliskan deret bilangan. Adapun definisi lain yang menyebutkan bahwa sistem billangan adalah sebuah proses sebagai wakil dari besaran berupa item fisik, sistem bilangan menggunakan suatu bilangan dasar atau basis tertentu.
1. Biner
Istilah bilangan biner sering disebut juga dengan bit atau binari digit. Dalam penggunaannya, biasanya bilangan biner digunakan pada bidang digital atau segala hal yang membutuhkan peryataan “ya” dan “tidak”, “on” dan “off”, maupun ”buka” dan “tutup”.Nama lain dari biner adalah bilangan basis 2. Biner merupakan sistem bilangan yang hanya memiliki 2 angka, yaitu angka 0 dan 1. Jika dalam desimal, angka disebut dengan digit, maka dalam biner angka disebut dengan bit (binary digit). Contoh bilangan biner adalah 1101111, 1111001, dan lain-lain. Konsep cara menentukan nilai biner sama dengan desimal, hanya saja jika di desimal menggunakan perpangkatan angka 10, maka di biner menggunakan perpangkatan angka 2.
Contoh penggunaan biner adalah ketika kita menyalakan saklar lampu. Apabila lampu menyala, maka nilai binarinya adalah 1 sedangkan apabila lampu mati, maka nilai binarinya adalah 0.
a) Konversi dari Biner ke Desimal
Bilangan biner dapat dikonversi menjadi bilangan desimal dengan cara mengubah setiap bit menjadi bentuk desimal. Biner juga disebut sebagai bilangan basis 2.
Position Value dalam sistem bilangan biner merupakan perpangkatan dari nilai 2 (basis 2), seperti pada tabel berikut ini :
Bilangan biner dapat dikonversi menjadi bilangan desimal dengan cara mengubah setiap bit menjadi bentuk desimal. Biner juga disebut sebagai bilangan basis 2.
Position Value dalam sistem bilangan biner merupakan perpangkatan dari nilai 2 (basis 2), seperti pada tabel berikut ini :
Tabel 8. Position Value Biner
Misal :
Diketahui sebuah bilangan biner dengan nilai 1011, maka cara mengkonversi bilangan biner menjadi bilangan desimal adalah… .
Diketahui sebuah bilangan biner dengan nilai 1011, maka cara mengkonversi bilangan biner menjadi bilangan desimal adalah… .
Sehingga bilangan biner 1011 dalam perhitungan konversinya menjadi
b) Konversi dari Desimal ke Biner
Misal:
a) Konversi dari Desimal menjadi HeksadesimalMisal:
Diketahui bilangan desimal 199, maka cara mengkonversi bilangan desimal menjadi biner adalah dengan membagi bilangan desimal dengan basis 2 (dibagi dengan angka 2).
Hasil pembagian diperoleh dengan membaca sisa pembagian dari bawah keatas, sehingga diperoleh
19910 = 110001112.
19910 = 110001112.
2. Heksadesimal
Heksadesimal adalah suatu sistem bilangan yang berbasis 16. Heksadesimal atau biasa disebut heksa merupakan sebuah sistem bilangan yang menggunakan 16 simbol. Berbeda dengan sistem bilangan desimal, simbol yang digunakan dari sistem ini adalah angka 0 sampai 9, diperbanyak oleh 6 simbol lainnya yang memanfaatkan huruf A sampai F. Sistem billangan tersebut berfungsi sebagai penampil sebuah nilai alamat memori dan pemograman komputer.Misal:
Diketahui bilangan desimal 199, maka cara mengkonversi bilangan desimal menjadi bilangan
heksadesimal (basis 16) adalah dengan membagi bilangan desimal dengan 16 (basis 16)
Tabel 5. Nilai Heksadesimal terhadap Desimal
b) Konversi dari Heksadesimal menjadi Desimal
Misal:
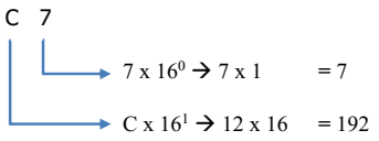
Diketahui bilangan heksadesimal C7, maka cara mengkonversi bilangan heksadesimal menjadi bilangan decimal adalah dengan menghitung hasil jumlah perkalian dengan 16 (basis 16).
Position Value dalam sistem bilangan heksadesimal merupakan perpangkatan dari nilai 16 (basis),
seperti pada tabel berikut ini :
Tabel 9. Position Value Heksadesimal
Sehingga angka heksadesimal C716 dalam perhitungan konversinya menjadi
c) Konversi dari Heksadesimal menjadi Biner
Untuk mengubah bilangan heksadesimal menjadi bilangan biner, maka yang harus dilakukan adalah dengan mengubah bilangan heksa menjadi bilangan desimal terlebih dahulu.
Misal:
Diketahui bilangan heksadesimal C7, maka cara mengkonversi bilangan heksadesimal menjadi
bilangan biner adalah
- Konversi bilangan heksadesimal menjadi bilangan desimal (poin ini sudah diselesaikan pada pembahasan poin b diatas)
- Hasil konversi bilangan heksadesimal menjadi desimal dikonversi lagi menjadi biner
Hasil pembagian diperoleh dengan membaca sisa pembagian dari bawah keatas, sehingga
diperoleh 19910 = 110001112.
diperoleh 19910 = 110001112.
G. OPERATOR LOGIKA PROPOSIONAL
1. Pengertian
a. Logika ProposisiLogika proposisi adalah suatu sistem berdasarkan proposisi. Setiap proposisi hanya bisa bernilai benar
atau salah. Logika proposisi memungkinkan aliansi simbol menggunakan operator yang berbeda,
misalnya operator “dan” ditulis dengan “É…”, sedangkan “atau” ditulis dengan “V”.
Logika merupakan dasar dari semua penalaran atau pemikiran.
Penalaran didasarkan pada hubungan antar pernyataan.
Sebuah pernyataan atau kalimat deklaratif yang memiliki bernilai benar (true) atau salah (false),
tetapi tidak keduanya.
Contoh 1
Semua pernyataan di bawah ini adalah proposisi:
- 10 adalah bilangan genap
- Ir. Soekarno adalah alumnus UGM.
- 1 + 3 = 4
- 25 > akar kuadrat dari 25
- Pada tahun ini ada dinosaurus di kebun binatang Ragunan Jakarta
- Hari ini adalah hari Sabtu
- Untuk sembarang bilangan bulat n > 0, maka 2n adalah bilangan genap
Contoh 2
Semua pernyataan di bawah ini bukan proposisi
- Jam berapa kereta api Argo Bromo tiba di stasiun Gambir?
- Isilah gelas tersebut dengan air!
- x + 3 = 8
- x > 3
Semua pernyataan di bawah ini bukan proposisi
- Jam berapa kereta api Argo Bromo tiba di stasiun Gambir?
- Isilah gelas tersebut dengan air!
- x + 3 = 8
- x > 3
2. Notasi Proposisi
Proposisi dilambangkan dengan huruf kecil p, q, r, ….Contoh 3
- p : 13 adalah bilangan ganjil.
- q : Jokowi adalah alumnus UGM.
- r : 2 + 2 = 4
3. Operator Logika
Apabila p dan q disebut proposisi, maka operator logika yang digunakan untuk kedua proposisi tersebutadalah konjungsi (É…), disjungsi (V) dan ingkaran (~).
1. Konjungsi (conjunction): p dan q dinotasikan menjadi p É… q
2. Disjungsi (disjunction): p atau q dinotasikan menjadi p V q
3. Ingkaran (negation) p: tidak p dinotasikan menjadi ~p
- Proposisi p dan q disebut dengan proposisi atomic
- Kombinasi proposisi p dan q menghasilkan proposisi majemuk (compound proposition)
Contoh 4
Diketahui proposisi berikut :
p : Hari ini pemilu kepala daerah
q : Peserta didik diliburkan dari sekolah
Maka dapat disimpulkan proposisi majemuk menjadi seperti berikut :
p É… q : Hari ini pemilu kepala daerah dan peserta didik diliburkan dari sekolah
p V q : Hari ini pemilu kepala daerah atau peserta didik diliburkan dari sekolah
~p : Tidak benar hari ini hujan (atau: Hari ini tidak hujan)
Diketahui proposisi berikut :
p : Hari ini pemilu kepala daerah
q : Peserta didik diliburkan dari sekolah
Maka dapat disimpulkan proposisi majemuk menjadi seperti berikut :
p É… q : Hari ini pemilu kepala daerah dan peserta didik diliburkan dari sekolah
p V q : Hari ini pemilu kepala daerah atau peserta didik diliburkan dari sekolah
~p : Tidak benar hari ini hujan (atau: Hari ini tidak hujan)













Gabung dalam percakapan